Autores: Dra. América Nitxin Castañeda-Sortibrán, Dr. Marco Antonio Carballo-Ontiveros, Dra. Nancy Raquel Mejía-Domínguez & Lic. Diego Alonso Echánove-Cuevas.
Sección: Investigación
Resumen
El objetivo de la presente investigación fue examinar los factores que influyen en el desempeño académico de estudiantes de bachillerato en la Olimpiada Universitaria del Conocimiento (OUC) en el área de Biología, así como los efectos percibidos sobre el concurso de parte de los estudiantes. Los datos se obtuvieron mediante una encuesta aplicada a las y los participantes de las ediciones 2011 a 2022 de la OUC.
Los datos recabados incluyeron: el género, el nivel socioeconómico, el grado de estudios de la o el jefe de familia, la elección de la profesión, o el nivel de educación superior con que se cuenta y la percepción sobre el impacto personal, profesional y motivacional que tuvo este concurso.
Los resultados muestran que la participación en la OUC tiene beneficios como el aumento en la motivación para estudiar en el área y una percepción positiva de los efectos personales y profesionales del concurso. En contraste, se detectaron algunos efectos negativos como la disparidad de género por variables socioeconómicas, así como una menor motivación y beneficio observado en estudiantes que no fueron premiados.
Palabras clave: Olimpiada Universitaria, Biología, impacto en estudiantes, educación media superior.
Keywords: University olympic, Biology, impact on students, high school education.
Introducción
Las competencias académicas en algunas dependencias de la Universidad Nacional Autónoma de México se han evaluado a través de concursos de conocimientos que han existido desde hace décadas en los sistemas de educación media superior, por ejemplo, los concursos interpreparatorianos coordinados por la Escuela Nacional Preparatoria (ENP) y las olimpiadas ceceacheras, por los Colegios de Ciencias y Humanidades (CCH). En estas competencias se realizan evaluaciones que están orientadas a conocer la profundidad del dominio teórico y práctico del alumnado en diferentes áreas del conocimiento. Si bien estos concursos pueden tener un efecto positivo y motivacional al generarse como un recurso pedagógico, también pueden ejercer un efecto negativo en el estudiante que inicialmente se sentía muy bien en una materia, pero al enfrentarse a otros igualmente buenos o con mejores calificaciones, puede ver disminuida su percepción de sí mismo como estudiante sobresaliente (Steegh et al., 2021).
Entre los argumentos que se han dado para generar este tipo de concursos están que: 1) promueven la profundización del conocimiento, 2) permiten el acceso a recursos avanzados, y 3) favorecen el progreso del alumnado con más aptitudes e intereses en las áreas que se abarcan. Además, mejoran la percepción del valor propio del estudiante y aumentan la motivación de buscar desarrollarse en una carrera del área académica del concurso, entre otros (Wirt, 2011; Kuech y Sanford, 2014; Steegh et al., 2021).
Aunque estas dinámicas esencialmente aportan beneficios, también existen ciertas evidencias de que, dependiendo de su implementación, pueden tener efectos negativos en algunos estudiantes generando desmotivación o acentuando inequidades sociales y económicas (Steegh et al., 2021; Rebholz et al., 2022). Esto puede ser problemático, ya que la inversión de tiempo, recursos económicos y recursos humanos en la organización e implementación de concursos académicos deben ser utilizados eficientemente, maximizando los posibles beneficios a la mayor cantidad de estudiantes y reduciendo –preferiblemente eliminando– cualquier prejuicio que pudiera incidir sobre la educación de la comunidad estudiantil.
La Olimpiada Universitaria del Conocimiento (OUC) es un concurso académico realizado en los planteles de educación media superior de la UNAM que contempla: nueve planteles de la Escuela Nacional Preparatoria (ENP) y cinco del Colegio de Ciencias y Humanidades (CCH). Este concurso académico se inició en 2011, con una interrupción de un año por la pandemia de COVID-19 en el año 2020 y se reanudó en 2021. En 2011 las áreas académicas participantes fueron: Biología, Física, Matemáticas y Química, aunque se han integrado otras disciplinas desde entonces. La OUC se lleva a cabo en dos etapas, la primera consiste en un examen teórico, y en la segunda, en un examen práctico donde se evalúan: comprensión, aplicación, análisis, síntesis y evaluación de los datos obtenidos en la práctica.
La OUC es un excelente caso de estudio para reflexionar sobre el efecto pedagógico de este tipo de concursos académicos. Su objetivo es reconocer y premiar la excelencia académica dentro de la institución educativa. El área de Biología es especialmente útil debido a que fue una de las asignaturas fundadoras y, por lo tanto, se tiene acceso a datos de más de diez años de antigüedad del concurso académico.
El objetivo del estudio fue examinar los factores que influyen en el desempeño académico de estudiantes de bachillerato en la OUC en el área de Biología, así como los efectos que han percibido, con el fin de entender la posible incidencia positiva y negativa de la OUC. Los resultados obtenidos podrán ayudar a que se emulen este tipo de estudios en otras áreas del conocimiento.
Método
La evaluación exploratoria para identificar los efectos positivos y negativos que están sucediendo en torno a la OUC se realizó a través de los datos disponibles de los resultados de la OUC en el área de Biología, junto con una encuesta aplicada a una muestra de sus participantes.
La OUC en el área de Biología se ha llevado a cabo desde 2011 y se han registrado poco menos de 3 mil estudiantes a lo largo de los años; dichos datos se obtuvieron a través de una solicitud hecha al Comité Organizador de la OUC. Mediante correo electrónico se contactó e invito a las y los estudiantes que han participado en la olimpiada para el llenado de una encuesta.
Descripción de la muestra
El trabajo incluyó los resultados de 2, 965 participantes de la OUC en el área de Biología desde su edición de 2011 hasta 2022, con lo que se obtuvo una muestra de 58 participantes.
Instrumento o procedimiento
La encuesta fue generada mediante la herramienta en línea Google Forms, con un total de 18 reactivos en los que se incluyen preguntas sobre el nivel socioeconómico, la educación de quien es jefe de familia, la elección de profesión/educación superior y su percepción del efecto personal, profesional y motivacional que tuvo este concurso. Los datos se dividen principalmente en aspectos contextuales -plantel, nivel socioeconómico y género-, resultados de la olimpiada -si resultaron premiados y la calificación en el examen- y, por último, datos posteriores a la olimpiada -beneficio percibido, motivación, futuro laboral y/o académico-. Con esta información se realizaron análisis descriptivos y, posteriormente, se evaluó la correlación de los resultados obtenidos en el área de Biología con los de la encuesta. Por último, se identificó y discutió a través de los análisis descriptivos e inferenciales los efectos positivos y negativos de los estudiantes participantes.
Consideraciones éticas
El proyecto de realización de esta encuesta fue aprobado el 27 de febrero de 2023; cuenta con el respaldo de la Comisión de Ética y Responsabilidad Científica de la Facultad de Ciencias de la UNAM, así como con el consentimiento del alumnado que participó en ella para su posterior aplicación en trabajos académicos. Asimismo, se informó que la identidad de las personas encuestadas se haría de manera anónima y que los datos serían tratados conforme a lo establecido en los Lineamientos para la Protección de Datos Personales de la UNAM
Análisis estadístico
Los datos obtenidos fueron procesados mediante el entorno y lenguaje de programación R versión 4.3.0 (R Core Team, 2020). Los análisis estadísticos incluyeron prueba de c2 para evaluar la asociación entre variables categóricas, y prueba de Kruskal-Wallis para ver las diferencias por calificaciones entre grupos; además de factores como el modelo lineal generalizado con la calificación como variable de respuesta y el plantel y nivel de educación de quien es jefe de familia.
Resultados
Participación y resultados por género
En la Figura 1a se muestra que durante los once años de la OUC la participación de las mujeres en el área de Biología ha sido mayor con respecto a la de los varones. Se observó una asociación estadísticamente significativa entre el sexo y la frecuencia de participación a lo largo de los años (c2 = 27.677, gl = 10, p = 0.002033).
En esta gráfica se percibe que la participación del alumnado decreció de forma significativa en 2022 con respecto al resto de los otros años.
Un resultado importante es que a pesar de que existe una mayor predominancia en la frecuencia de participación por parte de las mujeres en la categoría de Biología de la OUC, son los hombres quienes obtienen más premios, especialmente medallas de oro y menciones honoríficas (Figura 1b). Se muestra que en la premiación existe una diferencia estadísticamente significativa para el caso de los participantes hombres con respecto a las mujeres (c2 = 16.97, gl = 4, p= 0.001959).
Figura 1. a) Frecuencia absoluta de participación por género por año. B= Proporción para cada categoría de premio por género. Femenino = rojo, masculino = azul.
Premios por plantel y variables sociales
Por plantel se observaron diferencias en las calificaciones, la frecuencia de participación y en los premios obtenidos. En la Figura 2 se advierte la proporción de los premios obtenidos -que incluyen menciones honoríficas- por plantel ajustado al número de participantes de cada uno. En ella se puede observar que existe una notoria diferencia, donde el plantel 6 de la ENP duplica en proporción al resto de los planteles en cuanto a la obtención de premios (c2 = 173.41, gl = 52, p= 5.626x 10-15).
Figura 2. Proporción con respecto al total de premiaciones por plantel. Premiación a lo largo de los 11 años de la OUC por parte de los nueve planteles de la Escuela Nacional Preparatoria (ENP) y los cinco planteles del Colegio de Ciencias y Humanidades (CCH).
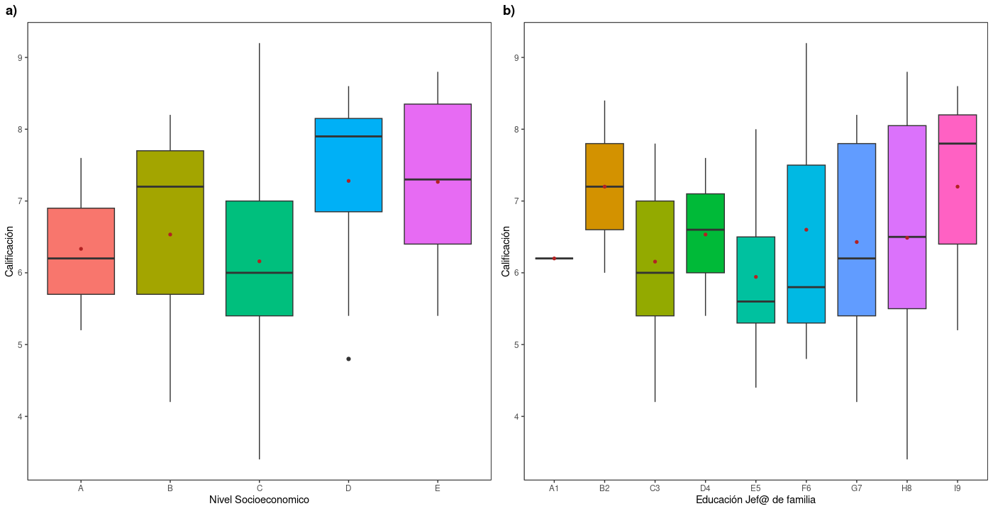
Debido a la diversa procedencia del alumnado que participa en la OUC, dentro de la encuesta se preguntó sobre niveles socioeconómicos y de estudios de la o el jefe de familia. Los resultados muestran, por un lado, un aumento de la calificación máxima a medida que es mayor el nivel socioeconómico, aunque este patrón se rompe en el nivel socioeconómico C (Figura 3a). Por otra parte, vemos un incremento del promedio de calificación a partir de que aumenta el nivel educativo de quien es jefe de familia, con excepción de los niveles de educación más bajos.
Esta observación es posible mediante el promedio de las calificaciones, ya que su distribución es amplia para cada categoría. Como ejemplo tenemos a la categoría F6: Título escuela vocacional o técnica con las calificaciones más altas o la categoría H8: Título Universitario con algunas de las más bajas. Asimismo, se realizaron análisis Kruskal-wallis de estas variables con respecto a la calificación, así como un análisis multivariado a través de un modelo lineal generalizado con la calificación como variable de respuesta. La única relación que arrojó una asociación significativa (c2=0.441, P=0.047) fue la del nivel de educación de quien es jefe de familia con el plantel, para explicar la calificación obtenida.
Figura 3. a) Calificaciones obtenidas por nivel socioeconómico de las familias del alumnado que participó. A= menor hasta E= máximo nivel. b) Calificaciones obtenidas por nivel educativo de la o el jefe de familia. A1= sin educación hasta I9= Estudios de posgrado. El desglose de los niveles se muestra en el apéndice.
Premiaciones obtenidas
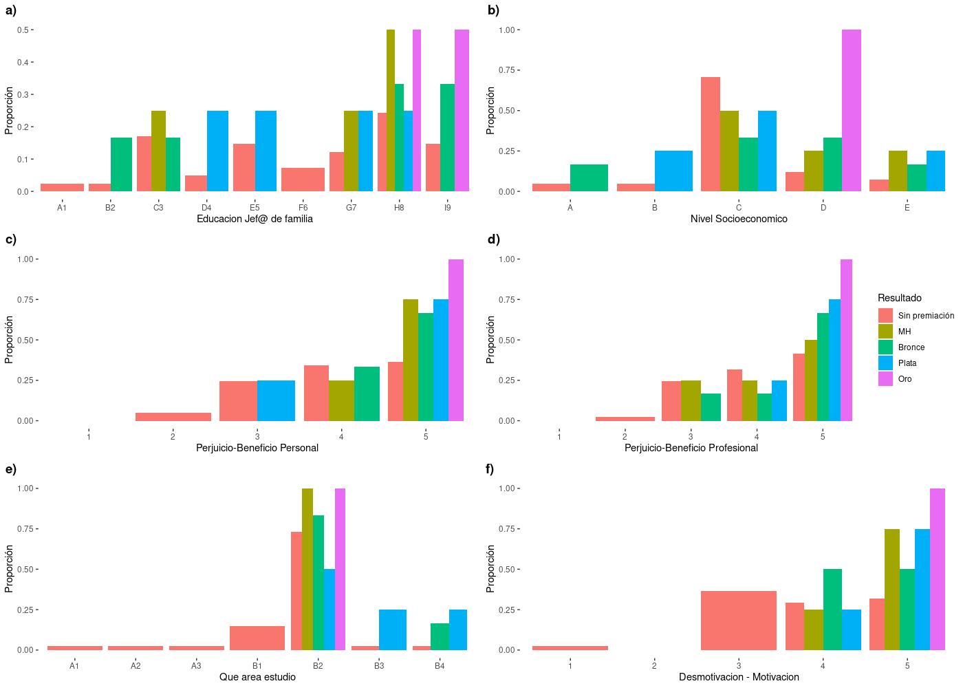
En la Figura 4 se observan seis gráficas que muestran las frecuencias relativas de participantes según la premiación que obtuvieron, en función de las respuestas dadas a distintas preguntas de la encuesta. Aunque solo se encontró una asociación estadísticamente significativa de las variables de resultado y beneficio personal percibido, el resto de los casos muestran ciertas tendencias que merecen ser consideradas para futuros estudios con muestras más grandes.
Por un lado, en las Figuras 4a y 4b se aprecia que a mayores niveles socioeconómicos o de educación de la o el jefe de familia existe una mayor proporción de premios. Asimismo, el beneficio percibido por los participantes, tanto personal como profesionalmente (Figuras 4c y 4d), es en general alto para todas las categorías de premios, pero bajo para quienes resultaron sin premio o con premios menores. Este mismo patrón se observa en la Figura 6f, donde el efecto en la motivación de las y los participantes fue más positivo entre mayor fue el premio. Por último, la Figura 4e muestra el nivel de los estudios superiores de las y los participantes. La mayoría se dedicaron a estudiar un área relacionada con la Biología, pero algunas personas que obtuvieron bronce, plata o que no fueron premiadas se dedicaron a estudiar otras áreas o no estudiaron.
Figura 4. Premiación obtenida y su relación con: a) Nivel educativo del jefe de familia, A1= sin educación hasta I9= Estudios de posgrado. b) Nivel socioeconómico, A= menor hasta E= mayor. c) Beneficio personal, 1=muy prejudicial hasta 5= muy benéfica. d) Beneficio profesional, 1=muy prejudicial hasta 5= muy benéfica. e) Área de estudio, A1= No estudió licenciatura y no planea hacerlo, A2= No estudió una licenciatura, pero planea hacerlo en el Área 2; A3: No estudió una licenciatura, pero planea hacerlo en otra Área distinta al Área 2; B1: Sí estudió/estudia una licenciatura en Área 1: Ciencias Físico-Matemáticas y de las Ingenierías; B2: Sí estudió/estudia una licenciatura, en Área 2: Ciencias Biológicas, Químicas y de la Salud; B3: Sí estudió/estudia una licenciatura en Área 3: Ciencias Sociales; B4: Sí estudió/estudia una licenciatura en Área 4: Humanidades y de las Artes. f) Nivel de motivación después de la participación, 1=muy desmotivante hasta 5 = muy motivante.
Discusión
En este estudio, uno de los objetivos fue identificar los efectos positivos y negativos que pudiera tener la OUC en los participantes. González-Pienda (2003) señala que los factores que influyen en el logro académico son personales y contextuales. “Las variables personales son las que caracterizan al alumno como aprendiz; las contextuales se refieren al estatus social, familiar, económico y del entorno escolar donde se desarrolla el individuo”. En este proyecto se estudiaron algunos aspectos contextuales como el nivel socioeconómico de los estudiantes y el nivel educativo de la o el jefe de familia. En la parte personal se indagó si existían diferencias en los resultados respecto al sexo biológico del estudiante o en el nivel de motivación respecto a si obtener una buena calificación, una mención honorífica o una medalla, los motivaba lo suficiente como para continuar con una licenciatura.
Participación y resultados por género
En la frecuencia de participación se observa que existen variaciones a lo largo de los años, además de la proporción entre hombres y mujeres. Especialmente notoria y preocupante puede ser la baja participación en la última edición de la olimpiada al ser la más baja registrada desde su creación. Esto posiblemente se debe a la pandemia COVID-19, la cual provocó que a partir de marzo 2020 se suspendieran las clases en los planteles educativos de la UNAM.
Dicha situación originó la suspensión de la olimpiada en 2020, reiniciando sus trabajos en 2021 solo en formato virtual. Fue hasta 2022 cuando la OUC se reanudó de forma presencial.
Una forma de lidiar con esta situación es con la propuesta de mecanismos que vuelvan más atractivo el evento para la comunidad estudiantil, para que así puedan gozar de sus beneficios. Una posibilidad podría ser mantener una sección del concurso en línea, como sucedió en 2021 donde, a pesar de estar en uno de los periodos más complicados de la pandemia, la participación fue mucho más elevada que en 2022.
Asimismo, se observaron diferencias en la frecuencia de participación entre hombres y mujeres, siendo la de mujeres mucho mayor que la de hombres en varias ediciones -2011 y 2021, como ejemplos-. Sin embargo, esta diferencia se revierte cuando se analizan las proporciones de género con respecto a las premiaciones, donde la proporción de hombres que ganan una medalla de oro o una mención honorífica supera el doble a la proporción de mujeres. Esto muestra que existe una posible disparidad de género en el desempeño de la olimpiada, la cual puede deberse a diversos factores. Lo anterior abre la posibilidad para que se realicen estudios en el plantel, para encontrar los motivos que pueden generar esta disparidad. Es importante que se continúe fomentando la participación del alumnado, independientemente de su género, y que se combata la disparidad no solo en la participación, sino también en el acceso al entrenamiento y a los recursos académicos, si las y los estudiantes los desean.
Premios por plantel y variables sociales
En el análisis de este estudio también se observaron algunos efectos por variables socioeconómicas, nivel de educación de la o el jefe de familia y plantel. Estas variables conforman una red compleja de interacciones entre ellas y con otras.
Dichas interacciones pueden influenciar el desempeño académico del alumnado, generando brechas educativas, las cuales se manifiestan en las pruebas de aprendizaje entre los distintos grupos socioeconómicos y también están influenciadas, de acuerdo con Duarte y colaboradores (2009), por “mecanismos adicionales que pueden estar correlacionados con la condición socioeconómica como son las características de la comunidad donde reside el estudiante, el estilo de parentesco, el nivel de participación de los padres, el tipo de escuela elegida, los efectos de los pares e incluso la influencia de factores genéticos heredados”.
Esta situación amerita una investigación más profunda en el plantel que permita evaluar si existen posibles mecanismos que puedan realizar las distintas instituciones de la UNAM para no perpetuar inequidades debido a las diferencias socioeconómicas y de capital cultural en las y los estudiantes.
Premiaciones obtenidas
Por último, observar las tendencias que existen de las respuestas de la encuesta con respecto a los premios obtenidos por los estudiantes sugieren algunos detalles interesantes. Por un lado, parece ser que los efectos positivos de la olimpiada sí están presentes en las y los estudiantes: en su mayoría existe una buena percepción de un beneficio personal, profesional y motivacional. Además, en su mayoría los estudiantes terminan optando por una carrera profesional en las áreas biológicas. Por otro lado, se vuelve notorio que los niveles más bajos de percepción de beneficio y motivación, así como las y los estudiantes que optaron por otras carreras tienden a obtener resultados más bajos en la olimpiada. Esto puede ser parte del efecto “pez grande en estanque pequeño” en psicopedagogía, y es algo que se debe atender debido a que puede provocar efectos negativos en las y los participantes.
Cambiar algunos mecanismos del desarrollo de la olimpiada que permitan disminuir la desmotivación de estudiantes que no obtengan premios podría ser sumamente útil para el objetivo pedagógico del concurso -por ejemplo, que se le agregue al componente competitivo un componente formativo: cualquier participante podrá tener acceso a conferencias de desarrollo de carrera o ferias vocacionales-. Esto permitirá que los beneficios de las inversiones que da la institución también se concentren en quienes no obtienen algún premio.
Conclusión
Abordando toda la información obtenida, es importante considerar que sí existen beneficios notorios de la implementación de la olimpiada, aunque también existen evidencias de inequidades socioeconómicas y de género, o la desmotivación de ciertos estudiantes. Continuar realizando estudios en el plantel y realizar cambios en la forma que se gestiona la olimpiada tiene el potencial de aumentar sus efectos positivos. La inclusión de elementos no competitivos y de acceso público a las y los participantes podría generar la motivación para adentrarse en áreas profesionales afines, además de dirigir los recursos a quienes tienen aptitudes y que buscan aumentar sus conocimientos.

